30 Alpha Cypermethrin Label

Read the attached leaflet before using this product for the control of insect pests including heliothis helicoverpa spp on various crops. Shake the alpha thrin 100 sc container well before use.

879 Cypermethrin And Alpha Cypermethrin Who Food Additives

Wash hands and exposed skin before meals and after work.

alpha cypermethrin label. 751 gl xylene for the control of certain insect pests including heliothis helicoverpa spp on various crops and red legged earth mite and blue oat mite on certain field crops and pastures and certain insect pests on fruit and vegetable crops as per the directions for use table. When alpha thrin 100 sc is used in conjunction with any other agricultural remedy adhere to all warnings precautions and directions for use mentioned on that label. 100 gl alpha cypermethrin solvent.

It can be used as a protective agent when applied at regular intervals or as a knockdown treatment to control existing larvae. 4farmers alpha cypermethrin 100 ec insecticide is a contact and residual insecticide. For the control of certain insect pests including red legged earth mite on certain field crops and pastures and certain insect pests on fruit and vegetable crops as indicated in the directions for use table.

With its active ingredient alpha cypermethrin fendona is one of the most effective indoor residual sprays for protecting public health in regions where malaria and other vector borne diseases are present. For ground application add 10 molasses by volume and 20 for aerial application. It is the responsibility of the user to verify the product is registered and appropriate for use in a given state.

Best results will be obtained by spraying at egg hatch. Fendona is a fast acting pyrethroid insecticide that quickly and effectively eliminates disease causing insects. State availability yes no not specified this information is for reference only.

Alpha cypermethrin 100ec active constituent. For the control of insect pests including heliothis helicoverpa spp on varioius crops and red legged earth mite and blue oat mite on certain field crops and pastures and certain pests on fruit and vegetable crops as specified in the directions for use table. 735 gl liquid hydrocarbons group 3a insecticide important.

Half fill the spray tank with clean water. 100 gl alpha cypermethrin solvent. Cypermethrin the addition of molasses has acidifying effect and reduces evaporation of the spray mist.

Thorough coverage is essential to ensure adequate control. Specimen label nva 2019 04 357 0093 2ee recommendation. Alpha cypermethrin 250 sc insecticide.

Contains alpha cypermethrin 15 marine pollutant the coshh control of substances hazardous to health regulations may apply to the use of this product at work. Safety precautions operator protection after contact with skin wash immediately with plenty of water.

Fendona Sc Alpha Cypermethrin Active Ingredients Supplier

Fendona 15 Sc Basf Alphacypermethrin Green Label Insecticide

Plos One Chlorfenapyr A Pyrrole Insecticide Applied Alone Or As

Secure 10 Sc

Alpha Cypermethrin Insecticide 20 Litre Cropro Buzzard

1l Alphacide 1 5sc Alpha Cypermethrin 1 5

Fendona 60 Sc 500 Ml 6 Alphacypermethrin

New Labels And Insecticide Use Strategies For Rice Water Weevil

Fendona 6sc 500ml Alpha Cypermethrin Insecticide

Alphacypermethrin Insecticide Hockley Alpha 10 Ec Hockley

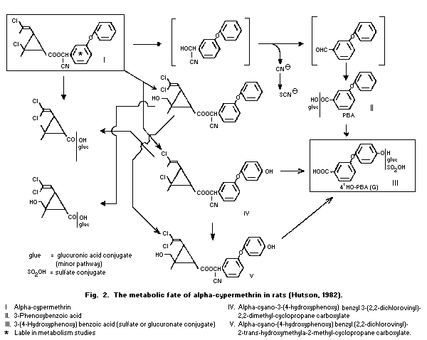
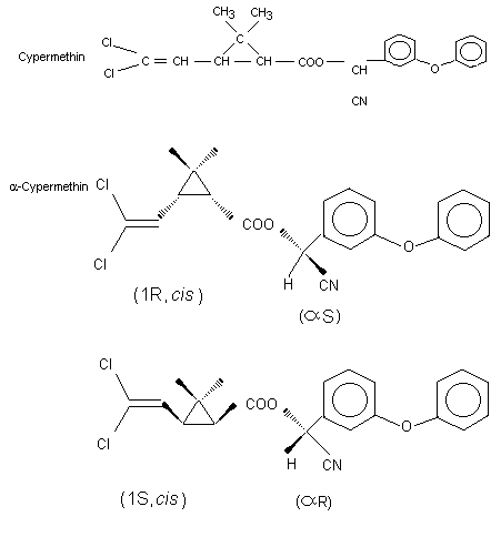
Cypermethrin Alpha Ehc 142 1992

Apparent Ag Products

Rubi 100 Sc Alphacypermethrin Provar Distributors Ltd

Fury Fmc

Products

Fao Specifications And Evaluations For Agricultural Pesticides

Zenith Pct International

Fendona 6 Sc Basf Pest Control Solutions South Africa

Cypermethrin Alpha Ehc 142 1992

Sheriff 100 Label Nufarm

Insecticides Pelgar Asia Pacific

Alpha Cypermethrin Buy Alpha Cypermethrin Alpha Cypermethrin Alpha Cypermethrin Product On Alibaba Com

Figure 1 From Cypermethrin Including Alpha And Zeta Cypermethrin

Chlorfenapyr A Pyrrole Insecticide Applied Alone Or As A Mixture

Bestox Msds A Noble Pest Control

Cypher

Insecticide Alpha Cypermethrin 97 Tech 10 Ec 5 Ec 5 Ew 5 Wp 67375 30 8 Buy Alpha Cypermethrin Alpha Cypermethrin 10 Ec Alpha Cypermethrin Product

Factory Price For Insecticide Alpha Cypermethrin 5 Ec 95 Tech Buy Cypermethrin Cypermethrin Price Alpha Cypermethrin Product On Alibaba Com

Alpha Scud Elite Adama Australia

Belum ada Komentar untuk "30 Alpha Cypermethrin Label"

Posting Komentar

Iklan Atas Artikel

Iklan Tengah Artikel 1

Iklan Tengah Artikel 2

Iklan Bawah Artikel